gwasTools
1.0.0
Una colección de scripts R que podría ser útil para trazar los resultados de GWAS.
Se deben instalar los siguientes R Pakages para ejecutar estos RScripts:
OptParse, Data.Table, RColorBrewer, Plotrix, PWR, MAP2NCBI, Basicplotter, DevTools DevTools :: Install_github ('Josephcrispell/Basicplotter')
Gráfico de QQ agrupado y diluido de frecuencia.
Consulte los parámetros RScript requeridos/disponibles utilizando el siguiente comando
Rscript QQplot.r --help

Script rápido de la trama de Manhattan. Consulte los parámetros RScript requeridos/disponibles utilizando el siguiente comando
Rscript ManhattanPlot.r --help

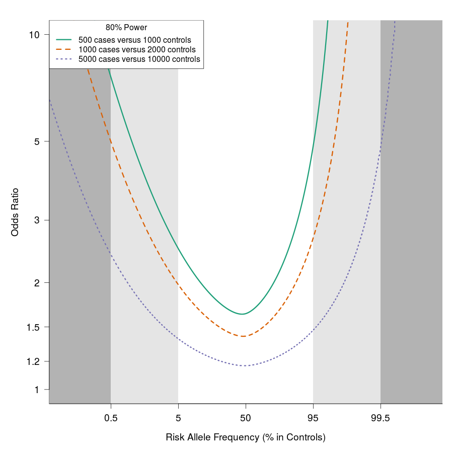
Gráficos de potencia del 80% basados en el cálculo del tamaño del efecto de Cohen para las proporciones implementadas en el paquete 'PWR' R
Rscript PowerPlot.r --help

| Cromo | Pajita | Maf | Pvalor |
|---|---|---|---|
| 1 | 1 | 0.05 | 0.99 |
| 2 | 2 | 0.15 | 0.1 |
| 3 | 3 | 0.5 | 0.25 |
Rscript QQplot.r
--input ExampleGWAS.txt
--prefix Example
--maf MAF
--pvalue PVALUE
--maintitle 'An Example QQ plot'
# GWAS results from http://csg.sph.umich.edu/abecasis/public/amd2015/Fritsche_2015_AdvancedAMD.txt.gz
Rscript ManhattanPlot.r
--input Fritsche_2015_AdvancedAMD.txt.gz
--prefix Example
--chr Chrom
--pos Pos
--pvalue GC.Pvalue
--coltop T
--maintitle 'Age-related macular degeneration (Fritsche et al. 2016)'
--threads 8
Rscript PowerPlot.r
--prefix Example
--cases 500,1000,5000
--controls 1000,2000,10000
--minMAF 0.001
--alpha 5E-8