




Podlite 편집기의 최신 릴리스를 여기에서 다운로드하십시오.
=markdown - 마크 다운 블록Github 향료 Markdown (GFM)을 작성하도록 전환 할 수 있습니다.
예 :
=begin markdown
# Cases
*Write* the documentation with the markup you __love__!
* item1
* item2
* ~~sub item1~~
* sub item2
=end markdown
이 예제를 pod6.in에서 엽니 다
=useReact , =React "Web for Web"패키지를 지원하기위한 추가 블록자세한 내용은 다음 기사를 읽으십시오. Podlite for Web을 사용하여 자신의 블로그/웹 사이트를 시작하십시오.
=toc 목차를 추가합니다예 :
=Toc head1, head2, head3
=for Toc :title('Table of contents')
head1, head2, head3
=picture - 게시물에서 이미지 또는 비디오를 사용하십시오예:
=picture gatsby-astronaut.png
=picture some-video.mp4
=picture some-video.mp4
This is a caption!
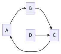
=Mermaid - 다이어그램을 사용하십시오 아름다운 그래프, 시퀀스 및 간트 다이어그램 및 흐름도를 렌더링하려면 =Mermaid 블록을 사용할 수 있습니다.
=begin Mermaid
graph LR
A-->B
B-->C
C-->A
D-->C
=end Mermaid

이 예제를 pod6.in에서 엽니 다
=Mermaid
graph LR
A[Square Rect] -- Link text --> B((Circle))
A --> C(Round Rect)
B --> D{Rhombus}
C --> D

이 예제를 pod6.in에서 엽니 다
=Mermaid
graph TD
A(Coffee machine <br>not working) --> B{Machine has power?}
B -->|No| H(Plug in and turn on)
B -->|Yes| C{Out of beans or water?} -->|Yes| G(Refill beans and water)
C -->|No| D{Filter warning?} -->|Yes| I(Replace or clean filter)
D -->|No| F(Send for repair)

이 예제를 pod6.in에서 엽니 다
=Mermaid
sequenceDiagram
autonumber
Student->>Admin: Can I enrol this semester?
loop enrolmentCheck
Admin->>Admin: Check previous results
end
Note right of Admin: Exam results may <br> be delayed
Admin-->>Student: Enrolment success
Admin->>Professor: Assign student to tutor
Professor-->>Admin: Student is assigned

이 예제를 pod6.in에서 엽니 다
=Mermaid
classDiagram
Person <|-- Student
Person <|-- Professor
Person : +String name
Person : +String phoneNumber
Person : +String emailAddress
Person: +purchaseParkingPass()
Address "1" <-- "0..1" Person:lives at
class Student{
+int studentNumber
+int averageMark
+isEligibleToEnrol()
+getSeminarsTaken()
}
class Professor{
+int salary
}
class Address{
+String street
+String city
+String state
+int postalCode
+String country
-validate()
+outputAsLabel()
}

이 예제를 pod6.in에서 엽니 다
=Mermaid
gantt
title Example Gantt diagram
dateFormat YYYY-MM-DD
section Team 1
Research & requirements :done, a1, 2021-04-08, 2021-04-10
Review & documentation : after a1, 20d
section Team 2
Implementation :crit, active, 2021-04-25 , 20d
Testing :crit, 20d

이 예제를 pod6.in에서 엽니 다
다이어그램은 화살표 커넥터를 사용하여 텍스트 레이블을 연결하여 생성됩니다. 다른 모양을 선택하고 커넥터에 레이블을 추가하고 스타일 커넥터 및 모양을 추가 할 수 있습니다. =Diagram 인어 다이어그램 및 차트 도구를 사용합니다. 전체 구문에 대한 인어 문서
Podlite는 유연성과 사용 편의성을 위해 설계된 가벼운 블록 기반 마크 업 언어입니다.
Podite의 사양 : podlite.org/specification
Nexjs 및 Podlite Markup Language를 사용하여 정적 블로그/사이트를 만드는 최소의 경량 스타터
Podlite 온라인 편집자 : Podlite Online : Pod6.in
이것은 오픈 소스 프로그램입니다. 자유롭게 포크하고 기여하십시오.
이 문서와 마지막 릴리스 간의 일치를 유지하려면 전용 개발 지점에 요청을 가져 와서 가져 오십시오.

저작권 (C) 2020-2024 Alexandr Zahatski
MIT 라이센스에 따라 릴리스.