wassail
1.0.0
wassail (WebAssembly STATIC Analyzer 및 Inspection Library)은 WebAssembly 모듈의 경량 및 헤비급 정적 분석을 모두 수행하는 툴킷입니다.
Wassail의 일부는 웹 브라우저에서 실행할 수 있습니다.
OPAM을 설치하십시오
opam install core_unix 실행하십시오
opam install .
Wassail은 텍스트 표현 ( .wat 파일) 또는 이진 표현 ( .wasm )에서 WebAssembly 모듈에서 여러 작업을 수행 할 수 있습니다.
$ wassail imports foo.wasm
0 time i32 - > i32
1 ctime i32 - > i32
2 roundf f32 - > f32
...$ wassail exports foo.wasm
11563 atof i32 - > f64
11586 strlen i32 - > i32
11483 fopen i32, i32 - > i32
...섹션 크기는 바이트로보고됩니다.
$ wassail sizes foo.wasm
1962 type
8724 import
13120 func
0 table
0 memory
23 global
1316 export
0 start
9480 elem
2063620 code
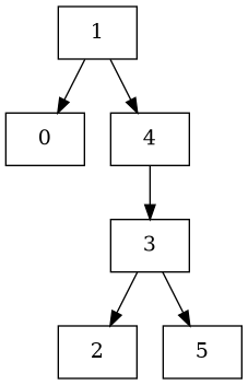
507825 data 모듈에 대한 호출 그래프를 생성하려면 foo.dot :
$ wassail callgraph benchmarks/benchmarksgame/fankuchredux.wat foo.dot출력 그래프 :

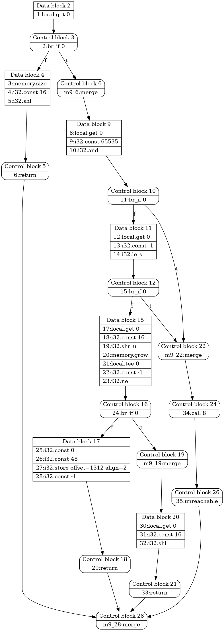
예를 들어 파일 foo.wat 에서 foo.dot 로 기능 1의 CFG를 생성하기 위해 단일 CFG를 생성 할 수 있습니다.
$ wassail cfg foo.wasm 1 foo.dot또는 주어진 디렉토리에서 모든 CFG를 생성 할 수 있습니다.
$ wassail cfgs foo.wat out/예제 출력 :

기부금을 환영합니다! Wassail은 비상업적 사용 조항으로 GPLV3.0 라이센스의 조건에 따라 라이센스가 부여됩니다.
$ make test 여기에서 웹 인터페이스에 액세스하거나 다음과 같이 직접 컴파일 할 수 있습니다.
$ opam install js_of_ocaml js_of_ocaml-ppx
$ make js
$ open js/index.html다음과 같은 간행물 사용은 다음과 같습니다.