양조를 통해 사전에 걸린 네트워크에 대한 지식을 새로운 도메인으로 전송하는 것은 차별적 모델을 기반으로 응용 프로그램에 널리 사용되는 관행입니다. 우리가 아는 한,이 관행은 생성 깊은 네트워크의 맥락에서 연구되지 않았습니다. 따라서, 우리는 생성 적대성 네트워크를 사용하여 이미지 생성에 적용되는 도메인 적응을 연구한다. 우리는 목표 도메인 크기의 영향, 소스와 대상 도메인 사이의 상대 거리 및 조건부 GAN의 초기화를 포함하여 도메인 적응의 여러 측면을 평가합니다. 우리의 결과 사전에 사전 된 네트워크의 지식을 사용하면 수렴 시간이 단축 될 수 있으며, 특히 대상 데이터가 제한 될 때 생성 된 이미지의 품질을 크게 향상시킬 수 있습니다. 우리는이 결론이 조건부가 조건부에 의해 도출 될 수 있음을 보여줍니다. 우리의 결과는 또한 밀도가 다양성보다 더 중요 할 수 있으며, 밀도가 높은 클래스가 하나이거나 몇 개 또는 몇 개 또는 몇 개 또는 몇 개 또는 몇 개가있는 데이터 세트는 ImageNet 또는 장소와 같은 더 다양한 데이터 세트보다 더 나은 소스 모델 일 수 있음을 시사합니다.
'git 클론 https://github.com/yaxingwang/transferring-gans'사용
현재 경로에서 이름이 '전송 간'인 새 폴더를 얻은 다음 'CD Transfering-Gans'를 사용하여 다운로드 된 새 폴더를 입력하십시오.
Pretrain ModelsGoogle 드라이버를 다운로드하십시오. Tencent Qcloud
압축되지 않은 폴더가 현재 폴더로 다운로드되지 않은 경우 '조건부', '무조건적'이라는 두 개의 폴더가 포함 된 새 폴더 'Transfer_Model'이 있습니다.
데이터 세트를 다운로드하거나 데이터 세트를 사용하십시오.
나는 하나의 예를 보여 주었고 당신은 같은 형태로 그것을 만들 수 있습니다.
'Python Transfer_gan.py'실행
기본 설정이있는 실행 코드. 파라미터 'target_domain'을 변경하여 사전 예방 모델을 셀레 로트 할 수 있습니다.
조건부 GAN 조건부 모델 사용에 관심이있는 경우 매개 변수를 설정하는 것만으로 'acgan = true'를 설정하십시오.
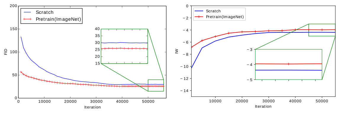
사전 치료 된 모델 사용은 고성능을 얻을뿐만 아니라 수렴을 빠르게 첨부합니다. 다음 그림에서 조건부 및 무조건 설정을 보여줍니다.

이 코드의 문제가 발생하면 프로젝트의 Github 사이트에 대한 버그 보고서를 제출하십시오. 또 다른 inquries pleace는 나와 연락을 취합니다 : [email protected]