Elasticsearch를 사용하여 최대 절전 모드 검색 6 사용량을 보여주는 간단한 스프링 부트 응용 프로그램.
최대 절전 모드 검색 6.1.7.Final : 참조 문서
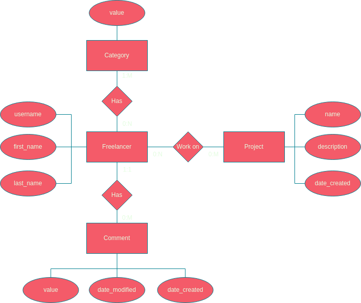
ER 다이어그램 :

프리랜서 및 프로젝트 엔티티에서는 전문 검색을 사용할 수 있습니다.
인덱싱 엔티티
3 개의 검색 예 :
SearchProjectSentities는 프로젝트의 기본적인 전체 텍스트 검색을 보여줍니다
SearchProjects는 예측 사용이 포함 된 이전 예제를 보여줍니다
SearchFreelancers
맞춤형 edgengram 분석기 생성
Spring Boot 응용 프로그램을 실행하기 전에 다음 명령이 포함 된 필요한 Docker 컨테이너를 시작합니다.
docker compose -f deployment/docker-compose-dev.yaml up -d 로 개발 환경 시작
docker compose -f deployment/docker-compose-dev.yaml down 사용하여 개발 환경을 중지하십시오
다음 명령으로 테스트를 실행하십시오.
newman run ./backend/src/test/postman/Hibernate-search-6-example.postman_collection.json -e ./backend/src/test/postman/Test Environment.postman_environment.json --reporters cli,json --reporter-json-export ./backend/src/test/postman/output/outputfile.json
여기에서 우편 컬렉션을 수입하십시오
Elasticsearch 브라우저 확장 : https://elasticvue.com/