[Papier] [Modellkarte] [Deployment -Demo]

Die Pipeline enthält zwei Teile: Erzähl- und Bildgenerierung. In der narrativen Generation planen wir die Erzählung basierend auf den Schlüsselwörtern und emotionalen Trends in Sätzen und generieren den folgenden Geschichtensatz. Bei der Bildgenerierung verwenden wir sowohl die Disco -Diffusion als auch die stabile Diffusion, um ein visuell ansprechendes Bild zu erstellen, das die Haupthandlung der Geschichte erfasst. Wir implementieren die Objekterkennung weiter, damit Objekte in den Bildern in der zukünftigen Entwicklung der Geschichte erwähnt werden können.
| Domain | Name | Beschreibung | Sprachmodelltyp | Modellkarte | ? Link |
|---|---|---|---|---|---|
| Vorschlag | Emotionsvorschlag | Dieses Modell ist unter Storycompenense, das verwendet wird, um Vorschläge für das Gefühl im nächsten Satz zu erteilen | Deberta-V2-Xlarge | Yuetische/deberta-finetunierte Next-Sentenz-Emotion | Umarmtes Gesicht |
| Vorschlag | Emotionsvorschlag | Dieses Modell ist unter Storycompenense, das früher vorgeschlagen wurde | Bert-Base-Unbekannt | Yuetische/Bert-Basis-Oncased-Finetuned-Plutchik-Emotion | Umarmtes Gesicht |
| Vorschlag | Keyword -Vorschlag | Dieses Modell ist unter Rocstories beendet | Opt-1.3b | Bleiben Sie dran | Bleiben Sie dran |
| Textrohr | NÄCHSTER STREIDENTENGERATOR | Dieses Modell nimmt Kontext, Schlüsselwort und Gefühl zusammen und generiert den nächsten Satz im Rokstories -Stil | T5-Base-Finetuned-Calengen | Yuetisch/T5-Finetuned-Storycommonsense | Umarmtes Gesicht |

Wir implementieren eine einfache Demo, die die Bereitstellung ver. unseres Rahmens hier. Bitte verweisen Sie auf den Q & A -Abschnitt für weitere Informationen

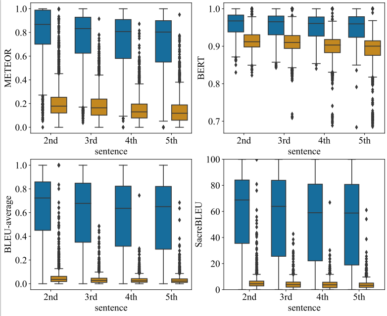
Wir demonstrieren eine Leistungsverteilung des Basismodells und des prompt optimierten Modells in 3.748 Experimentensätzen unter verschiedenen Metriken. Die blaue Box auf der linken Seite jeder Figur repräsentiert unsere Methode und die Orange auf der rechten Seite repräsentiert das Basismodell.
Hier finden Sie einige Beispielgeschichten, die Sie mit diesem Framework generieren können.
| # | Satz | Bild |
|---|---|---|
| 0 | Marcus sammelte Schalen am Strand. | ![]() |
| 1 | Er nahm eine große schöne Hülle. | ![]() |
| 2 | Er steckte es in die Tasche, um für später für zu sparen. | ![]() |
| 3 | Plötzlich fühlte er eine scharfe Prise. | ![]() |
| 4 | Eine Krabbe befand sich in der Schale, die sein Bein drückte. | ![]() |
@misc{chen2023visual,
title={Visual Story Generation Based on Emotion and Keywords},
author={Yuetian Chen and Ruohua Li and Bowen Shi and Peiru Liu and Mei Si},
year={2023},
eprint={2301.02777},
archivePrefix={arXiv},
primaryClass={cs.AI}
}